Los grandes proyectos (de 14 o más outs) no tienen el mismo valor en el flop que en el turn. En el flop, con dos cartas por salir, son favoritos para obtener la victoria en la mano y pueden justificar movimientos muy agresivos, incluso de all-in. En cambio, en el turn, si la cuarta carta comunitaria no ha servido para ligar una jugada potencialmente ganadora, pierden gran parte de su valor y dejan de ser favoritos para ganar la mano. Veamos a continuación algunos cálculos que demuestran esta diferencia tan importante de valor en los proyectos.
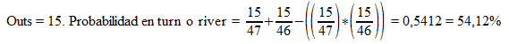
Imagina que estás en el big blind, tienes Tp9p y has pagado una subida de 3 bb del botón, que tiene un stack de 25 ciegas. El bote pre-flop tiene 6,5 bb. El flop es muy prometedor: Ac8p7p. Tienes proyecto de color con cuatro cartas de picas y proyecto de escalera abierta o a dos puntas. Te puedes sumar 15 outs (ya que es bastante improbable que el as de picas dé un full house a tu oponente). Te pasas y el oponente te mete una apuesta de continuación de 4,5 bb. Tu respuesta es muy clara: raise comprometido o raise all-in. ¿Por qué? ¿Sabes cuál es la probabilidad de ligar escalera o color con dos cartas si el rival te paga la subida? Recurrimos a la fórmula de la unión de sucesos y descubres que el porcentaje de probabilidad de ganar es de un 54,12%, lo que te indica que eres favorito para ganar la mano:
![]()
Probabilidad de ligar jugada con 15 outs en el turn o en el river, en Texas Holdem Poker
Evidentemente, tienes odds también para pagar la continuation bet del rival, pero no es la mejor jugada. ¿Cuál es la probabilidad de que ligues la jugada ganadora con la carta del turn? Un porcentaje muy inferior: 31,91%.

Probabilidad de ligar jugada con 15 outs en el turn, en Texas Holdem Poker
Imagina que la carta del turn no te favorece. Tu probabilidad de victoria con la carta del river también es inferior a la que tenías a dos cartas: 32,61%. Desde luego, aunque puedas volver a pagar la second barrel del rival, ya no eres favorito para ganar la mano.

Probabilidad de ligar jugada con 15 outs en el river, en Texas Holdem Poker
Por tanto, tu mejor jugada en el flop era la subida comprometida o all-in. En ese momento, eras el principal candidato para llevarte un gran bote.
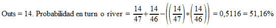
Por otra parte, con 14 outs a dos cartas también eres el favorito para ganar la mano, ya que tu probabilidad de ligar jugada es del 51,16%.

Probabilidad de ligar jugada con 14 outs en el turn o en el river, en Texas Holdem Poker
Si no eres agresivo con este tipo de proyectos y la cuarta carta común no te sirve para ligar jugada, te verás de nuevo en el turn con una situación delicada, puesto que ya no serás favorito para ganar la mano. Tu probabilidad de victoria será solo de un 30,43%.

